首页
华体汇官网登录入口
师资队伍
教学管理
科学研究
学科建设
hth华体会赞助
招生就业
社会服务
校友之家
English
下载中心
首页
华体汇官网登录入口
学院简介
现任领导
机构设置
学院标志
联系方式
师资队伍
专任教师
外聘专家
教学管理
本科生教学管理
研究生教学管理
科学研究
科研动态
科研成果
科研平台
教学研究
学科建设
硕博点建设
优势特色学科
博士后流动站
hth华体会赞助
党建动态
团学工作
工会之家
招生就业
本科生招生
研究生招生
就业资讯
社会服务
培训项目
理论宣讲
校友之家
校友名单
校友活动
校友之家
校友名单
校友活动
校友名单
校友活动
校友名单
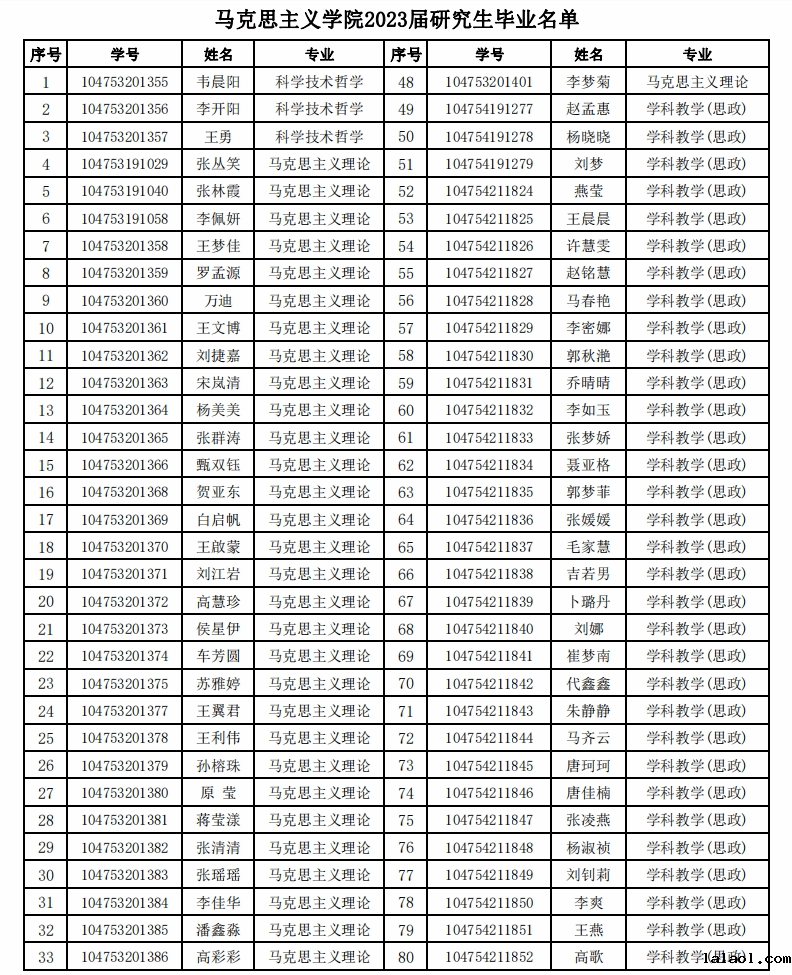
hth华体会体育在线app2023届研究生毕业名单
日期: 2023-12-10 作者: 点击量:
AG华体会官网